
二战以来上百个追赶经济体中,成功实现增速换挡、跨入高收入阶段的仅12个,其中德日韩台具有代表性,对当前中国改革转型具有重要借鉴意义。
2010年前后作者在国务院发展研究中心服务的时候,参与研究“中国能否跨越中等收入陷阱”“中国经济增长十年展望”“增长阶段转换”等重大基础性研究,先后阅读百篇文献(四大经济体专著家中一书柜),历时数年潜心研究德日韩台在增速换挡期面临的形势、犯过的错误、做对了什么、主要改革举措以及资本市场表现,对照中国当下,既有同性也有个性,这对预判形势进程很有借鉴意义,也启发了作者在后面提出“新5%比旧8%好”、“改革牛”、“经济L型”、“新周期”等判断。研究应安于坐冷板凳,定下心来研读经典,结合实践,鉴往知来。
2018年是改革开放四十周年,最好的纪念是以更大决心和力度推动新一轮改革开放,以开启新周期。
导读:
韩国在增速换挡期做对了什么?具有珍贵案例价值,对于采取过赶超战略、处于相同发展阶段 、面临类似挑战的当前中国经济具有重要借鉴意义。雕琢数年,诚意之作。
摘要:
在追赶国家中,韩国是少数成功跨越中等收入阶段、翻过高收入之墙的经济体之一,创造了与西德“莱茵河奇迹”和日本“隅田河奇迹”相媲美的韩国“汉江奇迹”。那么,韩国在增速换挡期(上世纪80年代到2000年初)做对了什么?
韩国在增速换挡期面临的挑战。韩国经济起飞是从1962年实施第一个五年计划开始的,逐步形成了政府主导的出口导向型发展模式与制度体系。但进入80年代以后,支撑经济高速增长的供求条件发生变化,原有制度体系不再适应新形势的要求,面临增长减速、动力转换和制度转型。主要表现在:民众对政治民主和社会福利需求增加;支撑高速增长的要素条件发生基本面性的变化;房地产长周期峰值到达;经济减速带来财政金融风险和产能过剩风险;结构性矛盾和金融自由化引发高通胀与资产泡沫;服务业管制导致低效率,阻碍产业升级;国际环境发生变化,加大开放和产业升级的压力剧增。
进入转型期,韩国面临着政治、经济、社会系统性的转型任务:政治由军事独裁转向政治民主,发展模式由政府主导转向市场主导,增长动力由要素驱动转向创新驱动,产业结构由重化工业为主转向高新技术产业为主,产业政策由倾斜性转向中性,对外开放由选择性、局部性转向全面性、全局性,国际竞争由两头挤压转向突围升级。
1997年金融危机前,韩国政府采取了一些应对措施,但进展缓慢,深层次结构问题没有根本解决,并埋下了危机的隐患:政府干预与隐性担保仍然存在,存在出清刚性;实施宏观稳定政策,但货币环境仍然宽松;过剩产能缺乏退出机制,货币环境宽松导致无效资金需求和高负债;受利益集团和舆论影响,改革经常流于形式,并出现多次反复;改革的顺序和速度失策;推动金融自由化,但监管机制没有相应跟上;实施进口自由化和资本市场开放,货币错配与期限错配现象严重;经济改革滞后于政治改革,没有实现同步推进;实施重化工业投资调整与产业合理化政策,但主要是政府主导的反竞争措施;增加福利开支,但政府经济建设投资也大幅攀升。
总体来看,金融危机前,韩国经济改革取得了一定进展,但是呈局部性、被动式、偏政治化、上层精英主导、受利益集团影响、便宜行事、流于形式等特点,深层次结构问题没有得到根本解决,并被一再延误。更深层次地讲,在增速换挡期,韩国各界普遍对经济减速的必然性和增长动力转换的必要性缺乏充分认识,危机意识和转型动力不强,风险不断累积,最终走向危机倒逼式的改革。
目 录
1. 韩国在增速换挡期面临的挑战
1.1.1961-1979年高速追赶期形成的体制机制和经济结构
1.2.高速追赶期的成就与产生的问题
1.3.80年代以后进入转型期面临的新挑战
2. 1980-1997金融危机前韩国的应对、进展与问题
2.1.金融危机前的政策应对与结构改革
2.2.金泳三政府对形势的认识与应对
2.3.金融危机前经济转型取得的进展与存在的问题
在后发国家中,韩国是少数成功跨越中等收入阶段、翻过高收入之墙的经济体之一,创造了与西德“莱茵河奇迹”和日本“隅田河奇迹”相媲美的韩国“汉江奇迹”。然而,上世纪60年代之前的韩国一度被认为是没有希望的国家,韩国在历史上长期处于封建时期,1910-1945年沦为日本殖民地,即使建国初期的李承晚政府也腐败无能,并遭受了战争的破坏和国家的分裂。就是这样一个贫穷落后、资源匮乏的农业国,在只有近10万平方公里国土面积、不到5000万人口的情况下,从60年代开始了快速的追赶,1996年加入“发达国家俱乐部”-OECD,2007年人均GDP达到2万美元,当今韩国的电子、汽车等产品行销世界,成为新兴国家的榜样。
站在今天,重新认识和解读韩国“汉江奇迹”,可将其可划分为增长起飞奇迹和增长降落奇迹。相当一部分后发国家依靠重商主义战略,往往能够实现经济的起飞,但是在到达中等收入阶段以后,没有实现高速增长向中速增长的平稳降落,经济出现失速。而韩国则成功实现了增长动力转换和增长阶段跨越,迈过减速关。根据Barry Eichengreen, Dwight H. Perkins等(2012)的研究,当前韩国在增长态势、经济结构、创新能力、资本流动、金融体系等方面已经展现出作为一个成熟发达经济体的特征,完成了从奇迹到成熟的转变。
那么,韩国在增速换挡期做对了什么?韩国增长降落的奇迹具有非常珍贵的案例价值,对于采取过赶超战略、处于相同发展阶段、面临类似挑战的当前中国经济具有重要的借鉴意义。如果说改革开放30多年来,我们主要是跟日韩等成功追赶经济体学习如何起飞的话,那么未来10年转型期主要学习如何降落。韩国在转型期走过很多弯路,存在深刻的正反两方面经验教训。本文属于经济片段史研究,聚焦在上世纪80年代到2000年初,尤其是1989-2001年期间,韩国在支撑高速增长的供求条件发生变化后所面临的挑战、政策应对与制度选择。本文分为四部分:一、韩国在增速换挡期面临的挑战;二、1980-1997年金融危机前韩国的应对、进展与问题;三、1998-2003年金融危机后韩国的政策应对与结构改革;四、经验与启示。
1. 韩国在增速换挡期面临的挑战
韩国经济的发展过程可划分为以下八个时期:第一个是朝鲜王朝时期(1392-1910),以发展非常缓慢的农业经济为主。第二个是日本殖民地时期(1910-1945),沦为日本的资源输出地。第三个是光复后国家分裂和朝鲜战争时期(1945-1953),生产设备、房屋和基础设施遭到重创。第四个是战后恢复时期(1953-1961),接受大量“美援”,实施进口替代战略。第五个是政府主导下的经济高速增长时期(1962-1979),实施出口导向和重化工业发展战略。第六个是危机前的增速换挡期(1980-1997),实施稳定和自由化措施。第七个是危机后的增速换挡期(1998-2003),实施了全面而彻底的结构调整。第八个是迈向成熟经济体时期(2003-),进入高质量的中低速增长阶段。
韩国经济起飞是从1962年实施第一个五年计划开始的,逐步形成了政府主导的出口导向型发展模式与制度体系。但进入80年代以后,支撑韩国经济高速增长的供求条件发生变化,原有制度体系不再适应新形势的要求,面临增长减速、动力转换和制度转型。
1.1. 1961-1979年高速追赶期形成的体制机制和经济结构
1961年朴正熙上台之后,认为韩国国内市场狭小、居民购买力低、资源短缺,进口替代战略不适合韩国现实。由于韩国劳动力丰富,以美国为主的西方市场对韩国完全开放,因此开始转向出口导向战略,提出了“贸易立国,出口第一”的口号。韩国的外向型发展战略大体可以分为两个阶段:第一阶段是2 0世纪60年代以轻纺工业品为主的出口导向战略,抓住了美欧日发达国家由于劳动力成本上升进行产业升级、让出劳动力密集型产品市场的机遇;第二阶段是从20世纪70年代开始以重化工业品为主的出口导向战略,抓住了美欧日受能源危机影响进行产业升级、让出资源和资本密集型产品市场的机遇。
在实施政府主导的出口导向型发展战略过程中,韩国形成了一系列的政策和制度体系,包括强势政府、五年计划、财税激励、大财阀、金融抑制、信贷分配、工会限制等。
1、建立了权威主义和发展主义的政府。朴正熙利用军事力量镇压反对派,实行强权统治,为经济高速增长提供了长期稳定的政治环境。为保障经济发展计划和产业政策能够贯彻执行,朴正熙削弱了国会的作用,使国会沦为政府推进经济政策的“举手器”和“通过部”。把经济工作的决策权和领导权集中于经济企划院和总统秘书室,形成了高度集中的中央集权体制,经济企划院全面负责制定国民经济发展计划、编制与执行预算、动员和配置国内外可用资源、对投资和技术发展计划进行调整、国外经济合作等重大经济事务。任用了一批经济专家和军人分别担任决策与执行部门的官僚。朴正熙总统甚至自1965年开始亲自主持召开“月例出口扩大会议”,与各经济部门长官、产业界和金融界代表、专家学者等一起,研究出口动向、存在的问题、扩大出口措施等,并对出口有功人员和企业进行表彰。
2、制定五年计划,并配套相关奖惩和执行机制。韩国政府从1962年到1996年先后制定了7个五年计划,这些计划尤其早期的发展计划得到了较好的贯彻实施。为了确保计划得到贯彻,采用广泛的奖励和惩罚机制。不仅采取了差别税收、信贷分配等激励措施,而且采取了税务审计、终止或收回银行贷款等惩罚措施。税务审计是指税务局对纳税申报单进行系统而周密的调查,目的在于惩戒那些与政府经济政策不配合的企业。韩国大多数企业负债率都很高,终止银行信贷或收回贷款往往对企业而言是毁灭性打击。
3、为达到政府目标,对扶持的行业和企业给予信贷分配、减税等激励措施。政府通过官办金融,直接控制商业银行的行长任命、信贷分配和利率水平,对符合政策导向的产业和企业给予超低利率的贷款支持,对出口绩效好的企业给予大力支持,比如进入其他行业的权利,配给较为短缺的外汇资金支持以扩大进口等。在1966-1972年的高利率时期,出口信用贷款利率比一般利率水平低17个百分点。70年代为了支持重化工业的发展,政府直接对扶持的特定行业提供低利率中长期贷款,并进行大规模的税收减免。根据测算,在重化工业导向发展时期,重化工业的实际税负比轻工业低近30-35个百分点。
4、为配合出口导向战略,实施了汇率贬值、进口管制、FDI限制、资本账户管制等措施。60年代之前,为了配合进口替代战略,韩元长期处于高估状态,官方汇率1955年为36.8韩元/美元,1960年为62.5韩元/美元。为了实施出口导向战略,1961年韩元大幅贬值至127.5韩元/美元,1963年实施“5.3措施”进一步贬值至255韩元/美元。同时,废除复数汇率制,实施单一浮动汇率制。韩国在提升出口竞争力的同时对进口实行了数量和关税管制,尤其是重点保护的重化工业和农业部门,进口自由化一直到1978年以后才逐步取得进展。而投资自由化和资本自由化直到1997年金融危机以后才完全放开。
图1韩元汇率

资料来源:WIND
5、培育私营企业和自主品牌,增强企业竞争和创新意识。与其他发展中国家不同的是,韩国政府主要通过扶持私营企业实现发展战略,而不是直接建立国有企业。韩国政府出口导向型战略一开始就使企业生产面向国际市场,并对出口绩效好的企业给予政策扶持,因此韩国企业竞争意识较强,企业在国际市场上通过竞争扩大出口份额,在国内通过竞争赢得政府资源。韩国国有企业主要集中在电力、金融等公用事业和服务业领域,但也在80年代加快了私有化进程。与中国台湾、马来西亚等过度依赖产品代工的发展模式不同,韩国企业很早就开始在国际上建立起自己的品牌,并且十分重视品牌知名度和技术开发的投入(Michael E. Porter,1990)。
6、政府重视基础设施、教育和研发投入。政府致力于改善经济基础设施的短缺状况,60年代中期电力供给已经超过需求,60年代末-70年代初随着主要交通干线的开通,运输瓶颈得到极大缓解。韩国历来重视教育,1985年韩国20-24岁年龄段人口进入高等学校的比例比台湾、日本、西德、法国和英国都要高。韩国政府重视研发投入,韩国政府建立了政府支持的研发机构,引进先进技术,消化吸收并作为公共产品进行扩散传播,70年代韩国政府支持的R&D投入占到总投入的50-70%。
7、在经济快速增长的同时注意保持收入分配公平。韩国和台湾是既实现高速增长又保持收入分配公平的成功案例,原因包括:1948年韩国建国后,实施了彻底的土地改革,并限制农田拥有量。韩国在60年代大力发展劳动密集型产业,解决了大量就业,工资保持了较快的增长。70年代开展的“新村运动”改善了农村的生产生活条件,塑造了民众“勤勉、自助、协同”的精神,缩小了城乡收入差距。对多套住宅课以重税,限制高档耐用消费品的进口。韩国教育重视优胜劣汰,公平性较好。韩国社会流动性较强,社会地位更多地取决于个人成就。
1.2. 高速追赶期的成就与产生的问题
韩国政府主导的出口导向型发展模式在初期取得了优异的成绩,经济和出口高速增长,产业结构不断升级,工业化基础逐步建立,企业国际竞争意识较强。1963-1979年平均GDP增速达到9.8%。1961-1979年间,人均GDP由1247国际元上升到4294国际元,城市化率由28.6上升到55%,工业化率由17.3%上升到36%,资本形成占GDP比重由13.4%上升到36.1%,商品出口规模由0.41亿美元上升到150.57亿美元。
图2 韩国工业化率、城市化率和资本形成占GDP比重

资料来源:国务院发展研究中心“中长期经济增长”课题组数据库。
与此同时,也积累了较多深层次的问题,主要表现为政府对经济过多干预和市场机制不健全。
1、政府干预过多与腐败。由于政府掌握了过多的资源配置权力,出现了普遍的政经勾结和腐败现象,影响了市场机制的正常发挥。
2、对国内市场的高度保护。存在广泛的进口配额限制、关税壁垒、FDI进入限制、资本账户管制、汇率低估等,国内企业竞争力存在高估。
3、高负债。政府片面追求高速增长和规模扩大,企业实现了政府制定的目标可以获得低利率贷款、税收减免、新行业进入等权利,因此企业过度追求规模扩张而不是效益提高,企业负债率高企,60年代中期企业的资产负债率高达300-400%。
4、高通胀与低储蓄。由于政府配置的信贷实际利率水平过低,出现了超额的信贷需求,并引发了持续的高速通货膨胀,进而导致低储蓄。
5、依赖外债。超额的信贷需求和储蓄之间的缺口由国外借款来弥补,政府在对FDI保持限制的同时,有选择地开放资本账户,并对企业举借外债进行政府担保,导致企业举借外债失控。
6、金融抑制。由于只是把金融作为发展的工具,对银行人事、经营管理和资金分配的干预,导致了金融抑制,金融产业发展落后。
7、企业缺乏自律性。大量政府隐性担保的存在导致企业盲目扩张,存在投资饥渴症,缺乏自律性,充满道德风险。
8、财阀垄断。企业做的越大越能得到政府各种支持,导致大企业与中小企业差距越拉越大,行业集中度过高,形成了多元化经营的财阀垄断局面。
9、产能过剩与低效率。韩国国内市场狭小,工业化、城市化对重化工业产品需求带动有限。同时,大量资源密集型重化工业技术含量不高,容易被其他国家替代,且远洋贸易成本高昂。在70年代中后期,重化工业出现了严重产能过剩,过度的政策保护和扶持导致了低效率和高负债。
10、低成本竞争。韩国大多数产业依托成本优势在低价格领域里竞争,产品创新和差异化所需要的国内需求条件、相关支持产业表现等尚未起步(Michael E. Porter,1990)。
1.3. 80年代以后进入转型期面临的新挑战
进入80年代,支撑韩国高速增长的供求条件发生了基本面性的变化,面临增长减速和动力转换,原有制度和政策体系不再适应增长阶段转换的要求。进入增速换挡期以后,韩国经济社会面临的新挑战包括:
1、民众对政治民主和社会福利需求增加。进入中等收入阶段以后,社会民众对政治民主、政治参与、社会福利、分配公平、反对腐败等方面的诉求增加,这导致了广泛的集会活动、政府社会福利支出快速膨胀、工人工资快速增长,大量资源从生产领域转向分配和消费领域。过去军事独裁式的统治面临挑战,政府主导经济社会发展的方式面临转变。
2、支撑高速增长的要素条件发生基本面性的变化。宋丙洛(1992)认为,在1977年前后韩国从劳动力过剩经济转变为劳动力短缺经济。Barry Eichengreen, Dwight H. Perkins等(2012)认为,韩国到80年代剩余劳动力从农村流向工业部门的潜力基本耗竭。加上1987年民主化宣言[1]以后,工会活动活跃,劳资矛盾突出,工人工资水平迅速提高。随着韩国在半导体、电子、造船等产业领域的快速技术进步,逐渐接近发达国家的技术前沿面,引进消化吸收的空间缩小,面临需要大量增加R&D投入、充满不确定性的创新风险。
3、房地产长周期峰值到达。韩国的房地产长周期出现在90年代中后期。韩国的人口总和生育率在 1970 年代初期开始显著下降,1970-1990 年期间,每年人口出生数量从 101 万下降到 65 万人。因此,1990年前后20-50岁的置业人群到达峰值之后回落,住房销售和开工量开始下降。
图3 韩国90年代末出现房地产长周期峰值

数据来源: WIND、CEIC
4、经济减速带来财政金融风险和产能过剩风险。BarryEichengreen, Dwight H. Perkins等(2012)认为,1989年前后是韩国经济减速的转折点,经济和出口增速出现了相当幅度的下降,制造业产值和就业比重达到峰值,FDI开始外流。经济减速导致重化工业产能过剩状况进一步加重,企业效益恶化与高负债绑架了金融机构,大量呆坏账不断积累,经济局部性风险向系统性风险蔓延。雪上加霜的是,两次石油危机使得严重依赖外部资源的韩国重化工业遭受打击,海运业和造船业也受到重创。
5、结构性矛盾和金融自由化引发高通胀与资产泡沫。由于重化工业的过剩产能难以退出,导致了大量的无效资金需求和负债率攀升。同时,这一时期韩国政府加速了短期资本账户开放,财阀大量兴办非银行金融机构,汇率升值和欧美低利率环境导致国际投机资本流入。政府福利支出迅速扩大。转型期的大多数时间里货币环境比较宽松,导致了高通胀和资产泡沫,进一步削弱了韩国竞争力。
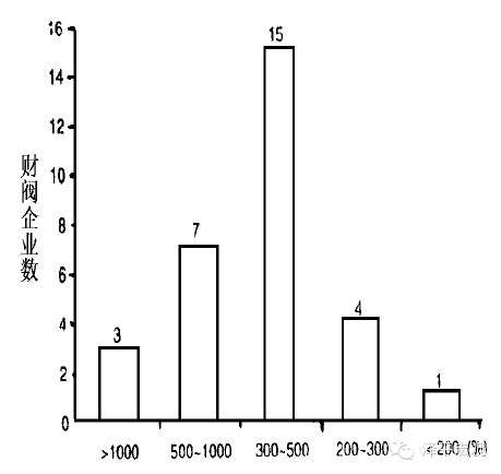
图4 30家大财阀的负债比率

资料来源:Boose alen &Hamilton: 《韩国报告书》,P227,每日经济新闻社,1997
6、服务业管制导致低效率,阻碍产业升级。随着服务业在经济和就业比重中的上升,服务业的效率提升越来越重要。而且在工业化中后期,制造业升级越来越依靠生产性服务业。但是韩国在金融、公共事业等领域存在大量管制,市场竞争不充分,效率低下。同时,产能过剩行业过度的无效资金需求对其他实体经济部门造成了挤出效应。
说明:服务贸易为进出口中的服务贸易额。报告中的值为简单平均数。由于数据不可得,东亚和OECD分别未包括越南和卢森堡。
7、国际环境发生变化,加大开放和产业升级的压力剧增。80年代之前,国际环境对韩国的发展极为有利。韩国作为“自由世界的桥头堡”,受到以美国为代表的西方国家的大力扶持,向其开放国内市场和技术出口。同时,中国尚未实行改革开放,韩国产品在国际市场上低成本优势明显。但进入80年代以后,韩国面临的国际环境发生较大变化。由于美国对韩国存在巨额的贸易逆差,美国认为韩国维持了不公平的贸易壁垒和币值低估,要求韩元升值、实施贸易自由化和开放国内市场。美国作为韩国最大的出口市场和主要的技术引进地,美国的要求韩国政府不得不重视。同时,随着中国加大对外开放力度,融入全球化,中国丰富廉价的劳动力优势吸引了大量国际FDI,迅速抢占了韩国劳动密集型产品的出口市场。韩国面临两头挤压的困境,不得不进行产业升级,转向与日本、德国、美国进行正面竞争。
2. 1980-1997金融危机前韩国的应对、进展与问题
进入80年代以后,高速追赶期遗留的老问题与转型期产生的新问题交织在一起,引发了“韩国病”[2],韩国在金融危机前已经表现出一些落入中等收入陷阱的症状。
进入转型期,韩国面临着政治、经济、社会系统性的转型任务:政治由军事独裁转向政治民主,发展模式由政府主导转向市场主导,增长动力由要素驱动转向创新驱动,产业结构由重化工业为主转向高新技术产业为主,产业政策由倾斜性转向中性,对外开放由选择性、局部性转向全面性、全局性,国际竞争由两头挤压转向突围升级。
2.1. 金融危机前的政策应对与结构改革
曾经支撑高增长的供求条件逐渐耗竭,曾经创造奇迹的体制现在成为了改革对象。如果说政府主导的出口导向型体制成功地实现了经济起飞,把韩国从低收入陷阱中解救出来,那么,现在这一体制在转型期则成了跨越中等收入陷阱的障碍
从市场失灵与政府失灵的低收入陷阱,到政府主导的起飞与高增长,再到市场主导的降落与成熟,这是一种规律性现象,是哲学上的否定之否定,是事物演进的基本方式。金融危机前,韩国政府采取了一些应对措施,但进展缓慢,深层次结构问题没有根本解决。
1、实施宏观稳定政策,但货币环境仍然宽松。60-70年代的高速增长伴随着严重的宏观失衡。重化工业导向的发展政策导致了过多的投资需求和货币投放,加上财政赤字以及两次石油危机冲击,引发了持续的高通胀,削弱了韩国产品的价格优势。1979、1980年出口和经济增长先后出现疲软。1979年朴正熙遇刺,韩国政治出现动荡。1980年全斗焕上台后,在制定第5个五年计划时,提出宏观稳定政策和民间主导的增长模式。为了实现宏观稳定,政府接受IMF的建议,实施了财政和货币紧缩政策,M2增速由1975-1982年的35%下降到1983-1985年的20%。1982年政府开始追求财政平衡,削减财政支出,并取得了明显效果,1981年财政赤字占GDP比重4.3%,到1987年则实现财政盈余占GDP比重0.2%。
财政整顿与石油价格回落使CPI由1981年的20%下降到1983年的5%,此后通胀水平长期低于10%。财政整顿使得中央政府债务水平下降到较低水平,这为应对1997年金融危机奠定了基础。虽然部分地牺牲了增长和就业,但韩国财政整顿政策取得了较大进展。
但是,货币政策在稳定物价方面没有发挥有效作用,主要是因为政府仍然直接控制信贷投放以及中央银行直接创造贷款。同时,1986-1988年“三低”[3]时期,韩国经常账户出现了顺差,为了保护出口竞争力,韩国推迟了币值调整[4],投机热钱流入导致了被动的国内货币投放[5]。
图5 韩国M2和CPI 单位:%

数据来源: WIND、CEIC
图6 韩国利率

数据来源: WIND、CEIC
2、实施重化工业投资调整与产业合理化政策,但主要是政府主导的反竞争措施。
70年代末,重化工业出现了产能严重过剩和企业效益恶化。1979-1983年间韩国政府实施了3轮重化工业投资调整,对调整对象企业提供救助措施和信贷支持。尽管如此,重化工业在80年代中期仍然面临较大困难,而且调整政策进一步加剧了财阀的市场垄断,过剩产能也没有退出。因此,1985-1990年间,政府又实施了系统的产业化合理政策,主要措施是对政策指定对象给予税收减免、信贷支持和限制行业新进入者。
无论是投资调整政策还是产业合理化政策,都是依靠反竞争措施,通过增强垄断和限制行业准入来实施。与此同时,政府大量提供信贷和税收优惠支持。1986-1988年间对于无力偿还债务的企业,其超过资产部分的债务被免除。在此期间,总计9863亿韩元的债务被免除,16406亿韩元的债务被展期,41947亿韩元的利息支出被推迟或缩减,4608亿韩元的长期贷款以低利率的方式重新提供,2414亿韩元的税收优惠被提供给扶持的公司。为了弥补商业银行的损失,韩国中央银行给6家银行提供了17221亿韩元的低息借款。
这些政府主导的调整措施虽然在短期避免了危机的爆发,但却增大了长期风险,增加了政府、企业和银行之间的道德风险。80年代,银行与企业之间的风险关联被增强了,民间主导的增长方式也没有实现,财阀在这一过程中规模得到了扩张。有观点认为,如果在80年代韩国政府能够允许无力还债的企业倒闭,那么1997年企业的负债率和银行的呆坏账率也不会那么高,金融危机的冲击也不会那么深。
3、推动金融自由化,但监管机制没有相应跟上。
80年代和90年代初,韩国金融自由化进展缓慢且很不平衡。本来80年代的通胀稳定时期,为利率市场化改革提供了良好的环境。但企业负债率过高,因为担心利率上升而导致偿付压力,利率市场化进程被一再推迟。1984、1986、1988年都曾推出过相关政策措施,但均没有取得实质性进展。直到1991年,四阶段利率市场化改革方案才推出,但从执行情况看一直被推迟,直到1996-1997年才完成。
信贷控制广泛存在于重化工企业、中小企业、农业等部门。1985-1987年韩国中央银行给6家银行提供了17221亿韩元的低息借款以实施产业合理化政策。1992年韩国中央银行给3大投资信托公司提供了29000亿韩元的资金,来支撑暴跌的股市,但却最终失败并亏损严重,政府不得不通过中央银行借款来弥补。对中央银行直接提供借款引起了越来越多的批评,但是这种状况在金融危机前改善有限。
80年代初掀起了一波商业银行私有化浪潮,但政府对商业银行的干预仍然存在,包括银行行长任命、信贷分配、资产管理等。虽然1993年政府不再直接任命商业银行行长,但影响仍然存在。
80年代和90年代初,大量非银行金融机构涌现,这些机构所受管制较少,存贷比高于商业银行,资产配置所受限制较少,市场进入较为容易,没有政策性贷款的义务。很多财阀控制了非银行金融机构,并游说政府进一步放松管制。因此,80年代非银行金融机构快速发展。
由于非银行金融机构的发展,商业银行失去了大量的市场份额。意识到商业银行所面临的不利竞争局面,政府开始允许商业银行通过信托账户经营信托业务。商业银行的信托账户快速发展,其占国内负债的份额由1984年的5%迅速上升至1993年的40%。
1993年政府放开了商业票据市场利率,并允许商业银行的信托账户投资商业票据,投资上限也由信托账户资产总额的40%提高到60%。这些改变使得商业票据市场快速发展,商业票据在企业融资中的比重由1990-1992年的2.5%上升到1993-1996年的13.1%,在1997年更是达到17.5%的峰值。企业票据融资相对于银行贷款所受的约束较少。
在推动金融自由化的过程中,审慎监管机制却没有相应跟上,金融系统的风险不断增加。首先,快速扩张的商业票据市场和银行信托账户没有受到审慎监管。一般账户和信托账户的监管标准不一样,前者紧后者松。其次,监管标准过时,难以发现银行的问题,对非银行金融机构的监管标准在实践中甚至几乎没有。再次,不同的部门行使监督权力造成了职能重叠和混乱,韩国中央银行的银行监管院负责商业银行的监管,财政部负责非银行金融机构的监管。商业银行的一般账户由银行监管院监管,信托账户由财政部监管。韩国中央银行主要关心商业银行对政府指导的信贷分配和执行情况,对商业银行的风险控制关注不够。而财政部则没有能力执行对金融机构的监管。最后,政府对金融基础设施建设重视不够。
总体看,80年代和90年代初,受财阀要求放松管制的影响,金融市场变得更加自由化,但是相应的审慎监管机制没有跟上,基础性改革被推迟。同时,政府虽然放松了直接控制,但是没有消除风险担保,产生了广泛的道德风险。
4、实施进口自由化和资本市场开放,货币错配与期限错配现象严重。
韩国曾在1978年宣布实施进口自由化,但在1979-1980年由于石油危机的原因而被搁置。1984年以后,随着贸易经常账户的改善,进口自由化再次被提上日程,1989年政府开始减少数量管制(进口配额限制)以缓解与美国的贸易摩擦。1981-1995年间,平均法定关税由34.4%下降到9.8%,进口自由化率由60.7%上升到92%。韩国进口自由化政策并不是为了提高国内消费者的福利,而是为了提高国内企业的国际竞争力。尽管如此,到90年代中期,韩国贸易自由化程度已经达到了OECD的水平。
资本市场开放大大滞后于贸易自由化进程,主要是基于对控制国内货币供给和实际汇率波动的考虑。70年代和80年代初,由于经常账户赤字,资本流出的管制甚至被加强。80年代中后期,随着经常账户转为盈余,FDI流出的管制被放松,同时加强了对国外借贷的管理,在此期间政府开始偿还外债。1990-1993年随着经常账户再度转为赤字,政府开始放开长期资本流入管制,1992年1月,股票市场开始对外开放,外国投资者可以在上限的约束下投资名单企业。
尽管如此,在90年代初,韩国国内资本市场对外开放程度非常有限。1992年在OECD列出的资本账户开放项目中,韩国管制程度达到89%,大大高于OECD国家17%的平均水平。直到1993年6月,为了加入OECD和加快韩国融入全球化的需要,政府开始推行三阶段金融自由化和市场开放计划,1994年12月开始实施外汇体制改革。韩国在1997年金融危机之前的资本市场改革基本是被动的。
政府在金融危机之前放开了企业贸易融资和银行短期海外借款,但是却推迟了其他方面资本流动的开放。90年代中期,政府减少了对银行和非银行金融机构海外经营的约束,认为金融自由化不会影响国内宏观经济稳定,而且会有助于提高国内金融企业的国际竞争力。1994-1996年,国内商业银行在海外开设了28家分支机构,海外借款大量流入国内以满足投资驱动的景气繁荣。由于对短期海外借款的限制大大少于长期借款,因此金融机构的短期海外借款迅速增长。
货币错配与期限错配不仅使得金融机构而且使得整个国家经济都面临巨大风险,而政府在此期间并没有加强必要的监管。金融危机前,韩国在金融自由化和资本市场开放的过程中,审慎监管机制建设一直滞后。银行监管院直到1997年6月才对商业银行提出外币流动性比率准则,财政部在危机前对非银行金融机构甚至没有建立相关监管准则。
5、实施鼓励竞争和限制财阀政策,但没有得到很好的执行。
直到90年代初,政府都存在广泛的市场干预,进入和退出并不是由市场而是由政府决定。1980年韩国制定了《反垄断和公平竞争法案》,1981年成立了公平贸易委员会。但是市场竞争政策在80-90年代并没有得到很好的执行,政府主导经济发展的传统和惯性力量较强,政府仍然通过设置进入壁垒、实施产业合理化政策、保持大量的国有企业、控制价格等手段干预市场,这在制造业和服务业都普遍存在。管制放开和私有化进程缓慢在一定程度上也制约了市场竞争政策发挥作用。政策的反复在很大程度上造成了混乱和扭曲。监管改革不应简单是放松管制,在有些领域也应该加强监管,而后者在韩国的改革进程中没有受到应有的重视。
作为市场竞争政策的重要方面,私有化改革也并不顺利。1968年交通、采掘、制造等行业实施了私有化,80年代银行和化工行业实施了私有化。1987年政府宣布对韩国电信公司、韩国电力公司、浦项制铁公司等大型国企实施私有化。但是韩国的私有化措施只取得了部分成功,社会各界担心股市的压力和经济向财阀集中,国企管理层和工人也强烈反对私有化。1993年金泳三政府宣布将133家国企的58家出售,但是在执行过程中也遭到了同样的反对,最终执行效果大打折扣。
80年代限制财阀扩张的政策开始实施。修订后的《反垄断和公平竞争法案》对财阀之间交叉持股给予了限制。后来政策对财阀企业相互债务担保、内部交易、多元化经营、所有权结构等方面也有诸多限制。但是这些措施并没有阻止韩国经济集中度的上升,1980-1990年间韩国采掘和制造业领域最大的100家公司产值占到40-45%,就业占到20%,并没有明显下降。
由于“大而不能倒”的预期,政府对财阀扩张提供了隐性担保,当企业濒临破产时,企业越大越可能得到政府救助。国内市场太小,财阀难以通过专业化经营实现规模经济,自然选择多元化经营,对进口的管制也使得多元化战略容易取得成功。1987年“民主化宣言”以后,财阀对政府政策的影响不断上升。
根本的解决办法在于解除政企关系、强化公平竞争政策、实施利率自由化、开放国内市场等,而这些改革措施直到1997年危机之后才得以实施。
6、增加福利开支,但政府经济建设投资也大幅攀升。
1987年“民主化宣言”以后,政府公共支出快速上升,一般性财政支出占GDP比重从1987的18%上升到2009年的30%。福利支出增长强劲,1977年建立的国民健康保险只覆盖500家企业,但是到1989年则覆盖到所有人群。政府致力于提供住房供给,1990-2000年家庭住房保障率从72.4%上升到96.2%。除了福利支出,90年代初用于道路、地铁、水利、供水等领域的经济建设支出大幅攀升。随着初高中升学率的提高,政府用于教育的支出也快速增长。
2.2. 金泳三政府对形势的认识与应对
在1980-1997年金融危机前的转型期,韩国经历了四届政府三任总统:全斗焕(1980-1988)、卢泰愚(1988-1993)和金泳三(1993-1998)。韩国在80年代经济仍然保持了高速增长的惯性。1979年朴正熙遇刺后,靠政变上台的全斗焕继续实施军事独裁统治,军人出身的卢泰愚把主要精力放在政治稳定上,因此80年代韩国经济改革相对缓慢,更多地是被动适应调整。进入90年代,韩国转型压力日益凸显,民主人士金泳三通过竞选上台,开始主动进行改革。
金泳三在竞选纲领[6]中分析了当时韩国面临的形势并提出了对策。他认为,在政治方面,民主与反民主的斗争随着“6.29宣言”已经过去,未来的主要任务是建立民主政权和文人政府。应建立透明开放的政治,重新修订选举法、政治资金法和信息公开法,建立小而高效的服务型政府,“用玻璃制成权力的殿堂”。在经济方面,过去实现高增长的“药方”已经不能发挥效力了,政府主导、低工资、容易引进的技术、政府资金扶持、国内市场保护等条件已经不复存在了,必须实现由量的积累转向质的飞跃。调整政府的职能,促进自由市场经济,实现金融自律化,推进大企业专业化经营,推动科技创新,通过金融实名制、不动产实名制、综合税制等措施实现经济正义。
1993年2月就任总统以后,面对广泛蔓延的“韩国病”现象,金泳三提出了任内要解决的三大任务:清除腐败[7]、搞活经济和确立法治[8]。主要措施包括:
1、改组政府,整肃军队。金泳三认为政治的基础在于人事,在新组建的内阁中,文官、专家、学者占较大比例,与以前历届内阁中军人占大多数明显不同,实现了由军人政府到文人政府的转变。金泳三更换了军队大多数重要职务的将领,确立了军队不介入政治的原则。
2、公布官员财产,实行金融实名制和不动产实名制。金泳三认为“韩国病”的根本病因在于腐败,清楚腐败必须从自身做起,高层要率先垂范,需要大力开展上层净化运动[9]。上任伊始,1993年2月金泳三公布了他和直系亲属的财产,随后300多名政府官员和国会议员也公布了家庭财产状况。1993年5月20日,国会通过了《公职人员伦理修正法案》,要求政府高级官员、高级公务员、国会议员等共三万多名公职人员必须于7月12日到8月11日一个月内进行财产登记,其中1100多名公职人员还必须进行财产公开。在巨大舆论压力下,这一法案得到了较好的执行。1993年8月12日,金泳三以《总统紧急命令》的形式,颁布实施在金融交易中实行实名制。金泳三提出,“金融实名制是建成新韩国必须越过的关口”,“若不实行金融实名制,就不可能在这个国家从根本上杜绝腐败,……,也不可能实现政治和经济现代化”,“金融实名制是改革中的改革,是我们这个时代改革的中枢与核心”。为了配合金融实名制的实施,政府采取了一系列配套措施,包括:政府承诺将采取紧急措施应对企业可能的资金状况恶化;在韩国中央银行设立旨在稳定金融市场的非常对策小组;限制资金流往海外;保护国民隐私等。实行金融实名制后,韩国并没有出现此前所担心的金融大混乱,金融市场和不动产价格逐渐趋于稳定。与此同时,金泳三政府实施了不动产实名制,整顿了不动产市场的投机行为,抑制了物价水平的上涨。在反腐肃贪过程中,金泳三政府重视发挥检察院的作用,严惩贪污受贿的官员,并把前总统全斗焕和卢泰愚送上法庭。
3、实行综合所得税制。金融实名制和不动产实名制为财政改革奠定了基础,1995年初金泳三政府推行了以自理纳税为主要内容的税制改革,实行了综合所得纳税制度,扩大了财源,实现了税收公平。
4、推动市场导向的改革。金泳三政府制定并实施了《新经济五年计划》,提出七大任务:鼓励投资,恢复经济景气;扶持中小企业;促进技术研发;取消对经济的行政管制,提高企业活力;改善农渔村结构;稳定生活必需品价格;国民观念革新。政府推动了简政放权、国企私有化、金融自由化等方面的改革。
2.3. 金融危机前经济转型取得的进展与存在的问题
1980-1997年金融危机前,韩国面对增速换挡期的挑战,进行了转型的努力,取得了一定进展:
1、沿着正确的方向,开启了民主政治和市场经济不可逆转的潮流。从1987年“6.29民主化宣言”开始,到金泳三文人政府改革,基本完成了军人独裁统治到文人民主政治的转变,实现了政治清明,使得金大中政府能够集中精力在经济改革上。从80年代初的经济稳定政策,到90年代初促进民间主导发展的经济改革,自由、竞争、公平、开放等市场经济的核心理念在改革的争论和推进过程中被广泛宣传和接受,市场经济观念被启蒙并深入民心。
2、奠定了一定的制度基础,为进一步深化改革创造了条件。金泳三改革推动了金融实名制、不动产实名制和综合所得税改革,这是建设市场经济最基础的制度要求,既是“必须逾越的关口”,也是“一场硬仗”,为减少政府干预、促进自由竞争、公平税负、产权保护等提供了制度保障。在贸易自由化、金融市场开放、财税体制改革、鼓励企业创新投入等方面取得了一定进展,完善了市场经济的基础架构。
3、奠定了一定的产业和技术基础,为开启新增长阶段创造了条件。韩国R&D投入占GDP比例由1981年的0.76%上升到1992年的1.94%、1997年的2.48%。90年代初,韩国在半导体、液晶显示器、电子、汽车、造船、信息、光电、精细化工等领域位居世界前列,具有较强竞争力。
但是,由于种种原因,一些深层次结构问题没有得到根本解决,为1997年金融危机埋下了隐患:
1、政府干预与隐性担保仍然存在,道德风险没有根除。在金融危机前,韩国政府虽然推出了放松管制、国企私营化、金融自由化等措施,但政府随意性的行政性干预仍然广泛存在,这加重了微观主体对政府隐性担保的预期,道德风险没有根本消除,企业无法实现完全市场化经营,这是企业负债率和金融机构资产不良率不断攀升的重要原因之一。
2、经济改革滞后于政治改革,没有实现同步推进。80年代民主化时期,军人出身的全斗焕和卢泰愚两任总统将主要精力放在政治稳定上。1993-1998年民主人士金泳三上台后,将主要精力放在建立民主政治上。受当时形势影响,经济改革始终未成为各界政府最主要的工作议程,出现了经济改革滞后于政治改革的局面。在金泳三政府时期,由于大力度的反腐败,原有的经济技术官僚不被重用,官员不作为现象较为严重。
3、受利益集团和舆论影响,改革经常流于形式,并出现多次反复。财阀通过对新闻媒体和研究机构等的控制,制造有利于企业的舆论。国企、工人等各种利益集团利用民主化运动,影响政府决策。而受民主化运动和建立民主政治影响,三届政府的经济决策舆论化导向明显,政府无力实行系统、全面的改革措施,一些重要改革措施在出台不久便被推迟或搁置,很多改革流于形式。
4、改革的顺序和速度失策。政府在推动金融机构私营化和金融市场对外开放的同时,没有加强风险监管,并且受到了财阀的较大影响,朝着有利于财阀更容易获得融资的自由化方向发展。在内部结构调整不到位的情况下,放开资本账户,加入OECD,使得内部不平衡被放大,风险外露。在推动管制放开的同时,没有加强政府在促进竞争、风险监管等方面的公共职能。
5、过剩产能缺乏退出机制,货币环境宽松导致无效资金需求和高负债。1989-1997年,资本对经济增长的贡献率仍保持高位,但FTP的贡献率明显下降(见图)。在政府隐性担保的情况下,“大马不死”成为企业的生存法则,企业过度追求规模扩张,过剩产能难以退出。在加大金融对外开放和财阀办非银行金融机构的情况下,总体宽松的货币政策环境使得企业比较容易获得融资,陷入到产能过剩与金融加杠杆的恶性循环之中。大量过剩产能不能退出,导致了无效资金需求和高利率,对成长性产业产生了挤压作用。90年代初,韩国半导体、汽车等新兴产业出现了较好的发展势头,但被捆绑在财阀集团内发展,受传统重化工业拖累。
总体来看,金融危机前,韩国经济改革取得了一定进展,但是呈局部性、被动式、偏政治化、上层精英主导、受利益集团影响、便宜行事、流于形式等特点,深层次结构问题没有得到根本解决,并被一再延误。更深层次地讲,在增速换挡期,韩国各界普遍对经济减速的必然性和增长动力转换的必要性缺乏充分认识,危机意识和转型动力不强,风险不断累积,最终走向危机倒逼式的改革。
参考文献:
Barry Eichengreen, Dwight H.Perkins, and Kwanho Shin, From Miracleto Maturity:Th e Growth of the Korean Economy,Harvard University Press,2012
The Committee of theSixty-Year History of the Korean Economy, the Korean Economy: Six DecadesGrowth And Development, Korea Development Institute, 2010.
Barry Eichengreen, DonghyunPark and Kwanho Shin, 快速增长的经济体何时减速:国际证据及对中国的启示,《比较》2012年第2期。
刘世锦等著,《陷阱还是高墙?中国经济面临的真实挑战和战略选择》,中信出版社,2011年。
韩国财政经济部,韩国开发研究院编,《与国民同启未来:韩国总统金大中的经济哲学》,中央民族大学出版社,1999年。
金大中著,《金大中自传》,中国人民大学出版社,2012年。
[韩]金泳三,《开创二十一世纪的新韩国》,东方出版社,1993年
金光根著,《韩国总统金泳三》,时事出版社,1997年。
李保平著,《文人总统金泳三》,中国广播电视出版社,1998年。
[韩]郑德龟著,《超越增长与分配:韩国经济的未来设计》,中国人民大学出版社,2008年。
[韩]宋丙洛著,《韩国经济的崛起》,商务印书馆,1994年。
IBM全球企业咨询服务部,《走进韩国》,中国铁道出版社,2009年。
崔志鹰,朴昌根,《当代韩国经济》,同济出版社,2010年。
朴昌根,《解读汉江奇迹》,同济大学出版社,2012年。
刘洪钟,《韩国赶超经济中的财阀制度研究》,光明日报出版社,2009年。
迈克尔·波特,《国家竞争优势》,华夏出版社,2002年。
马克·C·卡恩斯等著,《美国通史(第12版)》,山东画报出版社,2008年。
浜野洁(日)等著,《日本经济史1600—2000》,南京大学出版社,2010年。
戴维·马什,《欧元的故事》,机械工业出版社,2011年。
韩国贸易协会常务副会长 安玹鎬,韩国成功跨越“中等收入陷阱” 的经验和方法,在国务院发展研究中心演讲PPT。
保罗·克鲁格曼,《亚洲奇迹的神话》,《外交》杂志,1994年。
李相文,《韩国经济的出路在于结构改革》,《当代韩国》,1998年秋季号。
朴振根,《IMF体制下韩国经济的结构调整》,《当代韩国》,2001年春季号。
张强,《韩国走出金融危机的结构调整措施》,《经济研究参考》,2002年第65期。
张宝仁,韩笑,《金融危机后韩国经济政策调整》,《东北亚论坛》,2000年第4期。
李学成,《IMF管制五年后的韩国经济》,《世界经济研究》,2003年第3期。
朴馥永,《以经济转型跨越“中等收入陷阱”——来自韩国的经验》,《经济社会体制比较》,2013年第1期。
[1]受民主化运动推动,1987年6月29日卢泰愚发表了八点“民主化宣言”:修改宪法,实行总统直选制;修改总统选举法,保障公平竞争;对金大中等政治犯大赦,恢复其政治权利;最大限度地保障国民的基本权益;修改言论基本法,实现言论自由;实行地方自治和教育自治;保障健全的政党活动;严惩腐败现象。
[2]80年代末90年代初,“韩国病”引起韩国内外广泛讨论,主要表现为:政经勾结、官员腐败、物价飞涨、资产泡沫、劳动热钱减退、拜金主义盛行、人际关系冷漠、社会矛盾增多等,这与韩国60-70年代经济起飞时社会各界积极进取的精神形成明显反差。
[3]指低油价、低美元、低利率。
[4]在“广场协议签订”后,日本、台湾于1985年开始汇率升值,韩国于1988年才开始币值重估。
[5]韩国中央银行为了吸收过多的流动性,试图发行货币稳定券强迫商业银行购买,利率明显低于市场水平,直到1997年2月才引入竞争性拍卖方式。
[6]参见:金泳三,《开创二十一世纪的新韩国》,东方出版社,1993年。该书是金泳三在竞选总统前几个月完成的,反映出他的政治理想,可视为他的竞选纲领和施政蓝图。
[7]包括政治腐败、官员腐败、企业腐败、社会腐败等。
[8]李保平,《文人总统金泳三》,中国广播电视出版社,1998年,P206。
[9]“上游水清,下游水才不浊”。
(本文作者介绍:经济学家)